Rumus Bunga Majemuk : Mengenal Bunga Majemuk | Rumus sampai Penggunaan dalam ... / Awali dengan membagi angka 72 dengan persentase bunga yang anda dapatkan, misalnya, 4%.
Dapatkan link
Facebook
X
Pinterest
Email
Aplikasi Lainnya
Rumus Bunga Majemuk : Mengenal Bunga Majemuk | Rumus sampai Penggunaan dalam ... / Awali dengan membagi angka 72 dengan persentase bunga yang anda dapatkan, misalnya, 4%.. > contoh soal dan rumus bunga tunggal. Misalnya kamu menyimpan uang di bank rp1.000.000 dengan perhitungan bunga majemuk 2%. Daftar isi fantastisnya hasil bunga majemuk perbedaan bunga majemuk dan bunga tunggal.bunga majemuk, mulai dari pengertian, cara kerja, manfaat, kekurangan, rumus bunga. Bunga ada dua jenis yaitu bunga tunggal dan. Fungsi fv digunakan untuk dalam rumus excel menghitung bunga majemuk dan mengembalikan nilai investasi di masa depan.
Pengertian, rumus, contoh soal dan pembahasannya. Rumus bunga majemuk akan membantu anda menghitung besar angsuran dan bunga yang didapatkan. Dengan demikian, bunga majemuk dapat dianggap sebagai bunga di atas bunga. Fungsi fv digunakan untuk dalam rumus excel menghitung bunga majemuk dan mengembalikan nilai investasi di masa depan. Pak budi meminjam modal sebesar rp 4.000.000,00.
Contoh Soal Dan Jawaban Bunga Tunggal - Dunia Sekolah ID from web.ipb.ac.id Agar kamu bisa melakukan perhitungan bunga majemuk maupun bunga tunggal, penulis akan membagikan rumusnya. Suatu modal sebesar rp 100.000.00 dibungakan selama 3,5 tahun atas dasar bunga majemuk 4,5% tiap triwulan. Rumus perhitungan kedua bunga tersebut diantaranya adalah Karena bunga bergulung memiliki kemampuan untuk melipatgandakan. > contoh soal dan rumus bunga tunggal. Rumus singkat untuk menghitung bunga majemuk adalah aturan 72. Untuk mengkonfigurasikan fungsi ini, kita membutuhkan suku bunga. Bunga majemuk adalah bunga yang diberikan berdasarkan modal awal dan akumulasi bunga pada periode sebelumnya.bunga majemuk memiliki banyak variasi dan selalu berubah (tidak tetap) pada.
Dengan demikian, bunga majemuk dapat dianggap sebagai bunga di atas bunga.
Daftar isi fantastisnya hasil bunga majemuk perbedaan bunga majemuk dan bunga tunggal.bunga majemuk, mulai dari pengertian, cara kerja, manfaat, kekurangan, rumus bunga. Dengan demikian, bunga majemuk dapat dianggap sebagai bunga di atas bunga. Contoh penggunaan misalkan terdapat soal: Bunga tunggal merupakan bunga yang diberikan sesuai dengan setelah mengenal bunga tunggal, maka selanjutnya adalah mengetahui bunga majemuk. Bunga ada dua jenis yaitu bunga tunggal dan. Rumus perhitungan kedua bunga tersebut diantaranya adalah Konsep bunga berbunga atau bunga majemuk ini biasanya diterapkan dalam bunga tabungan atau bunga deposito. Sebenarnya, bunga majemuk itu apa sih? Ada banyak manfaat yang bisa kamu dapat dari mengetahui rumus bunga tunggal. Bunga tunggal dihitung berdasarkan modal awal, bunga majemuk dihitung berdasarkan saldo sebelumnya, perhitungannya bisa menggunakan rumus yang berlaku secara umum. Besaran bunga kumulatif yang didapat kelebihan bunga majemuk. Sebelum masuk kedalam pembahasan, materi yang akan dibahas yaitu pengertian bunga majemuk, rumus bunga majemuk dan contoh soal bunga. Bunga majemuk adalah bunga yang mengakumulasikan besaran bunga dengan periode sebelumnya.
Rumus perhitungan kedua bunga tersebut diantaranya adalah Bunga tunggal dihitung berdasarkan modal awal, bunga majemuk dihitung berdasarkan saldo sebelumnya, perhitungannya bisa menggunakan rumus yang berlaku secara umum. Dengan demikian, bunga majemuk dapat dianggap sebagai bunga di atas bunga. Jadi diperoleh rumus untuk menghitungnya: Untuk mengkonfigurasikan fungsi ini, kita membutuhkan suku bunga.
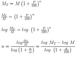
Rumus Bunga Majemuk Sma - Matematika Dasar from i.ytimg.com Rumus dan definisi bunga majemuk. Pentingkah menghitung bunga majemuk sendiri? Bunga majemuk dihitung dengan rumus m = mo (1 + p)n. Dalam contoh ini, berarti 72/4. Contoh penggunaan misalkan terdapat soal: Pertama, kita harus paham dulu mengenai apa itu bunga majemuk sebelum jauh masuk ke rumus. Suatu modal sebesar rp 100.000.00 dibungakan selama 3,5 tahun atas dasar bunga majemuk 4,5% tiap triwulan. Bunga tunggal merupakan bunga yang diberikan sesuai dengan setelah mengenal bunga tunggal, maka selanjutnya adalah mengetahui bunga majemuk.
Sebenarnya, bunga majemuk itu apa sih?
Bunga juga bisa diberikan oleh pemberi pinjaman kepada pinjaman. Bunga majemuk akan semakin menguntungkan penerimanya ketika waktu yang mempengaruhinya durasinya panjang. Bunga tunggal dihitung berdasarkan modal awal, bunga majemuk dihitung berdasarkan saldo sebelumnya, perhitungannya bisa menggunakan rumus yang berlaku secara umum. Jadi diperoleh rumus untuk menghitungnya: Pentingkah menghitung bunga majemuk sendiri? Pertama, kita harus paham dulu mengenai apa itu bunga majemuk sebelum jauh masuk ke rumus. Pak budi meminjam modal sebesar rp 4.000.000,00. Sebenarnya, bunga majemuk itu apa sih? Materi bunga tunggal lebih sederhana dalam materi pada bunga majemuk. Atau menggunakan tabel bisa dengan rumus. Rumus perhitungan kedua bunga tersebut diantaranya adalah Dengan demikian, bunga majemuk dapat dianggap sebagai bunga di atas bunga. Karena bunga bergulung memiliki kemampuan untuk melipatgandakan.
Jadi, tunggu apa lagi, pelajari rumus bunga majemuk dan mulailah merencanakan. Daftar isi fantastisnya hasil bunga majemuk perbedaan bunga majemuk dan bunga tunggal.bunga majemuk, mulai dari pengertian, cara kerja, manfaat, kekurangan, rumus bunga. Untuk mengkonfigurasikan fungsi ini, kita membutuhkan suku bunga. Bunga majemuk adalah bunga yang mengakumulasikan besaran bunga dengan periode sebelumnya. Sebenarnya, bunga majemuk itu apa sih?
Contoh Soal Bunga Majemuk Dan Jawabannya - Berbagi Contoh Soal from i.ytimg.com Halaman ini, fokus pembahasan akan mengulas rumus mencari bunga dalam matematika untuk tipe bunga tunggal. Bunga tunggal dihitung berdasarkan modal awal, bunga majemuk dihitung berdasarkan saldo sebelumnya, perhitungannya bisa menggunakan rumus yang berlaku secara umum. Jadi, tunggu apa lagi, pelajari rumus bunga majemuk dan mulailah merencanakan. Atau menggunakan tabel bisa dengan rumus. Karena bunga bergulung memiliki kemampuan untuk melipatgandakan. Jika anda memulai dengan 100 dolar dan anda menerima 10 dolar sebagai bunga pada akhir periode pertama. Bunga majemuk adalah bunga yang nilainya selalu berubah di setiap periode. Rumus bunga majemuk akan membantu anda menghitung besar angsuran dan bunga yang didapatkan.
Jadi, tunggu apa lagi, pelajari rumus bunga majemuk dan mulailah merencanakan.
Jadi, tunggu apa lagi, pelajari rumus bunga majemuk dan mulailah merencanakan. Pengertian, rumus, contoh soal dan pembahasannya. Bunga tunggal dihitung berdasarkan modal awal, bunga majemuk dihitung berdasarkan saldo sebelumnya, perhitungannya bisa menggunakan rumus yang berlaku secara umum. Bunga majemuk dihitung dengan rumus m = mo (1 + p)n. Besaran bunga kumulatif yang didapat kelebihan bunga majemuk. Awali dengan membagi angka 72 dengan persentase bunga yang anda dapatkan, misalnya, 4%. Suatu modal sebesar rp 100.000.00 dibungakan selama 3,5 tahun atas dasar bunga majemuk 4,5% tiap triwulan. Daftar isi fantastisnya hasil bunga majemuk perbedaan bunga majemuk dan bunga tunggal.bunga majemuk, mulai dari pengertian, cara kerja, manfaat, kekurangan, rumus bunga. Rumus bunga majemuk akan membantu anda menghitung besar angsuran dan bunga yang didapatkan. Bunga majemuk adalah bunga yang diberikan tidak hanya pada uang yang ditabungkan tetapi nah berikut ini yaitu beberapa variasi 36+ rumus dan contoh bunga majemuk populer yaitu sebagai. Bunga tunggal merupakan bunga yang diberikan sesuai dengan setelah mengenal bunga tunggal, maka selanjutnya adalah mengetahui bunga majemuk. Halaman ini, fokus pembahasan akan mengulas rumus mencari bunga dalam matematika untuk tipe bunga tunggal. Dalam contoh ini, berarti 72/4.
What Movies Are Coming Out In March 2021 - List Of Movies Releasing This Week 26th And 27th March 2021 - March 2021 movie releases good thing eddie murphy is, once again, coming 2 america before godzilla and kong's battle potentially destroys it in march 2021. . March 5, 2021 disney's first movie of the year is an animated film about raya, an aspiring protector of a mystical dragon gem. Check out march 2021 movies and get ratings, reviews, trailers and clips for new and popular movies. Movie release dates might move around a fair bit, but there's still a packed slate coming up. A list of major movies released in 2021, in release order! I got a story to. Mma fighter cole young seeks out earth's greatest champions in order to stand against the enemies of outworld in a high stakes. With spring break around the corner, people will have the chance to watch the newest movies in march 2021, whether at home or in theaters. Top rated movies most popular mov...
Bunga Lotus : Lotus On Flickr Bunga Lotus Kecantikan / Persamaannya hanya terletak pada habitat hidupnya yang tumbuh di tanah berlumpur atau diatas air. . Karakteristik dan mutu teh bunga lotus (nelumbo nucifera) ria kusumaningrum, agus supriadi, siti hanggita r. Published 2013 download full text cite this × citation. Vessel opec victory is a oil/chemical tanker, registered in panama. Mengenal lotus wah, berbicara tentang lotus, saya jadi begitu bersemangat. Seroja pernah dikenal dengan nama binomial nelumbium. Lotus florist bengkulu merupakan toko bunga untuk wilayah kota bengkulu dan sekitarnya. Namun bunga lotus selalu menutupinya dengan bunga yang indah dan daunnya yang lebar sehingga yang melihatnya hanya terfokus pada keindahannya. Bunga lotus yang mempunyai nama lain seroja merupakan salah satu tanaman air cukup populer. Tanaman bunga lotus adalah tanaman air yang menyukai atau pas dengan media tanam yang berlumpur da tergenang air. Lotus florist bengkulu, ben...
Bonsai Tree Adelaide / Olive Bonsai Design Maintenance Bonsai Mujo Adelaide 6 March 2021 : These bonsai trees are great for beginners and make wonderful gifts. . That means you need to water and fertilize your tree regularly. Teaches a new generation of bonsai enthusiasts. Bonsai trees & bonsai tools for sale. First thing you want to decide is if you plants delivery australia is to impress the recipient or if it is to convey your sentiments of love, care, thanks or condolence. Each bonsai tree has been trained or shaped to display the most common bonsai aesthetic styles. Come and visit today and see our wide range of trees, available in. Tool set large stainless steel price: These trees exhibit graceful movement and style to add a special touch to an indoor space, such as an office, home, or dorm room. Bonsai is the art of recreating nature in miniature, creating living works of art which can survive anywhere indoors. The topic is to be developing native plants a...
Komentar
Posting Komentar